Η λίστα με τα φυσικά πρόσωπα που χρωστούν στην εφορία και τα ταμεία πάνω από 150.000 ευρώ αριθμεί φέτος 11.109 ΑΦΜ έναντι των 10.168 την περσινή χρονιά. «Φουσκωμένη» είναι η δεύτερη λίστα με τα νομικά πρόσωπα που αριθμεί 18.095 οφειλέτες έναντι των 16.839 πέρυσι.
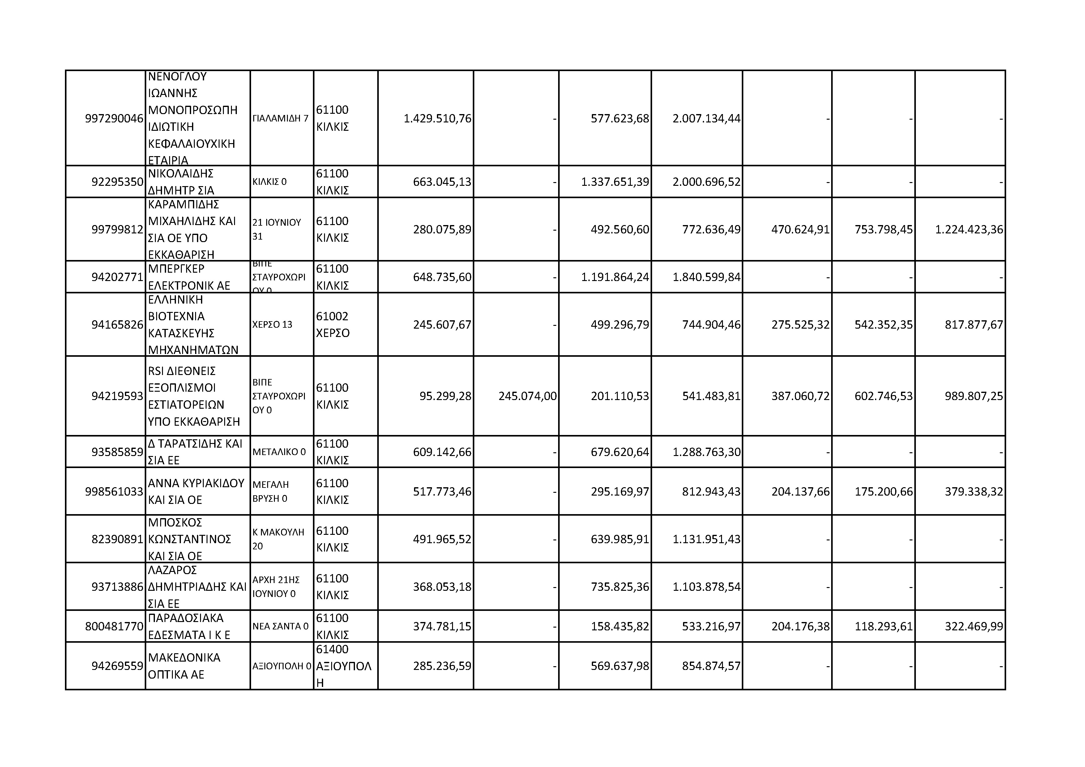
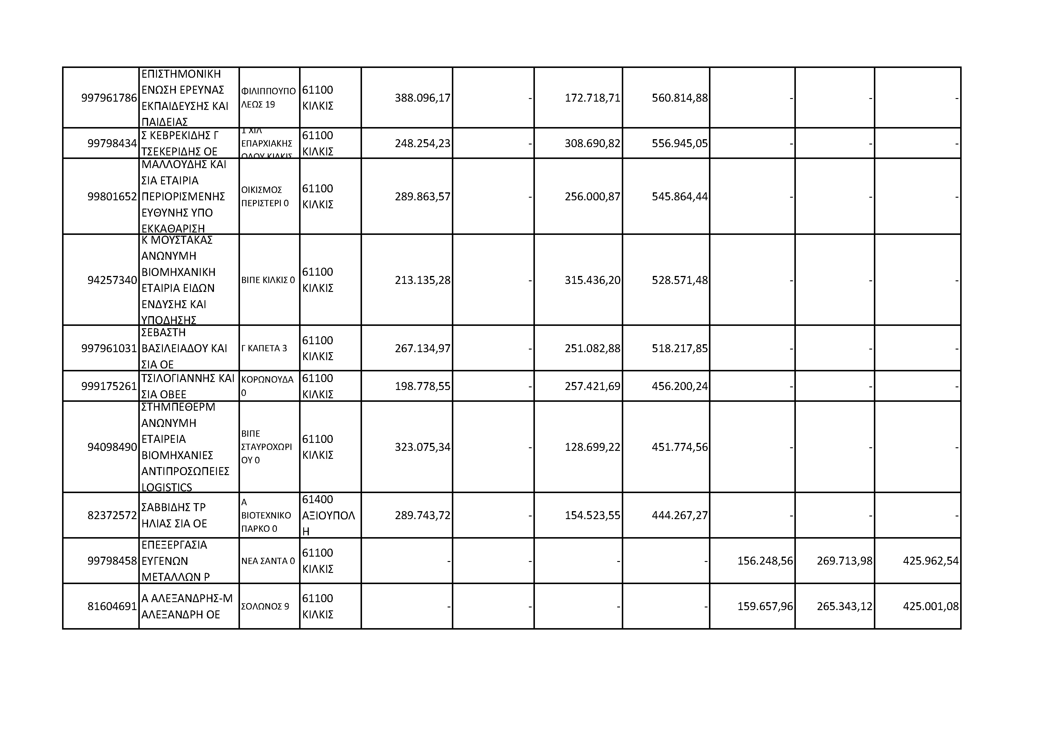
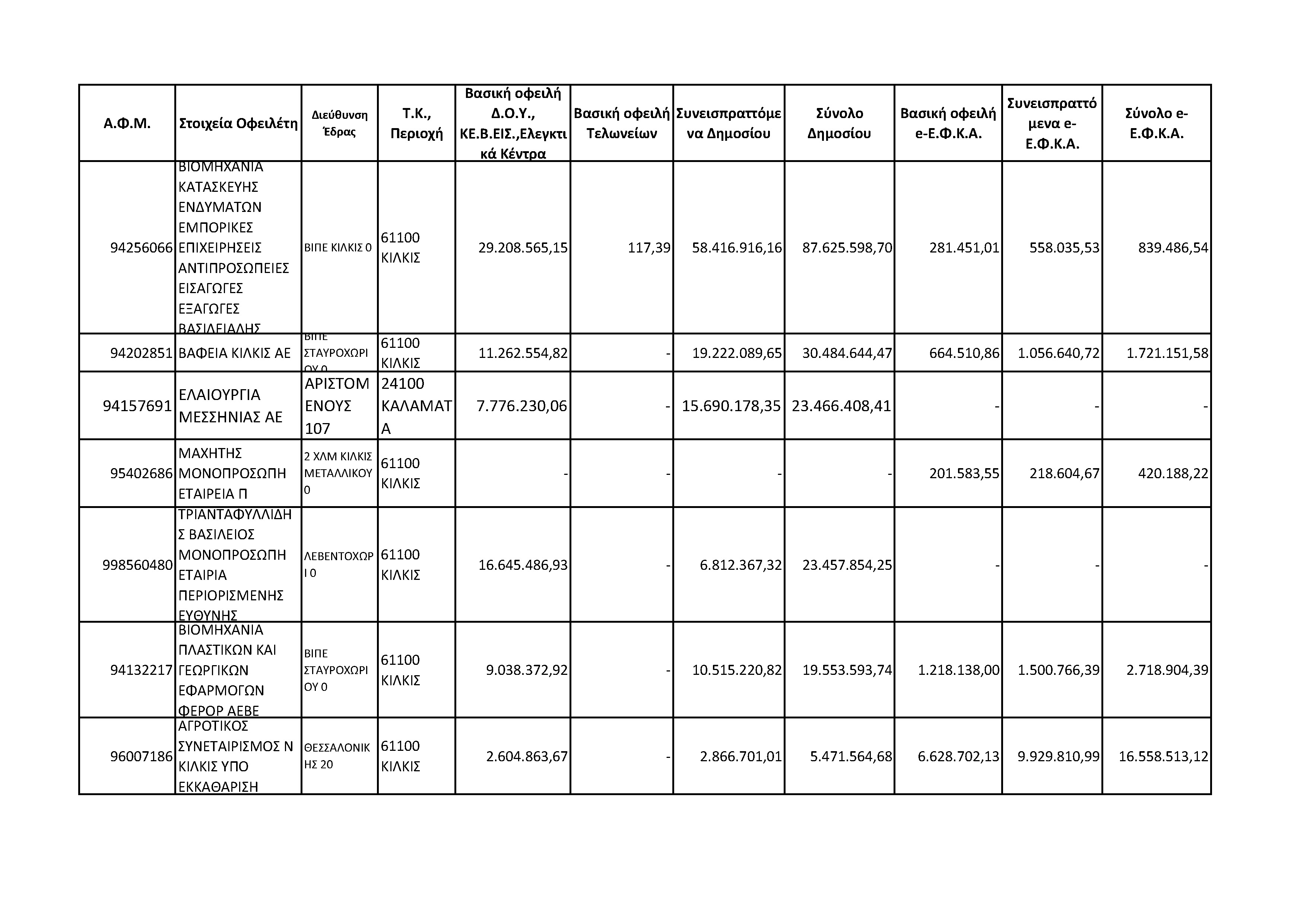
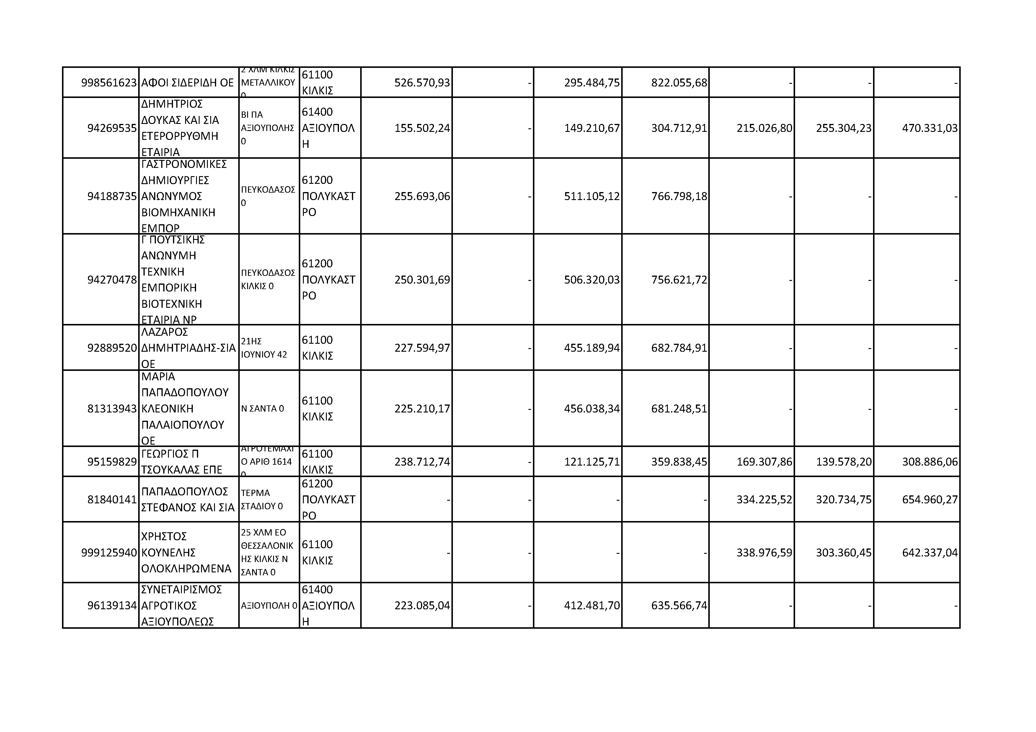
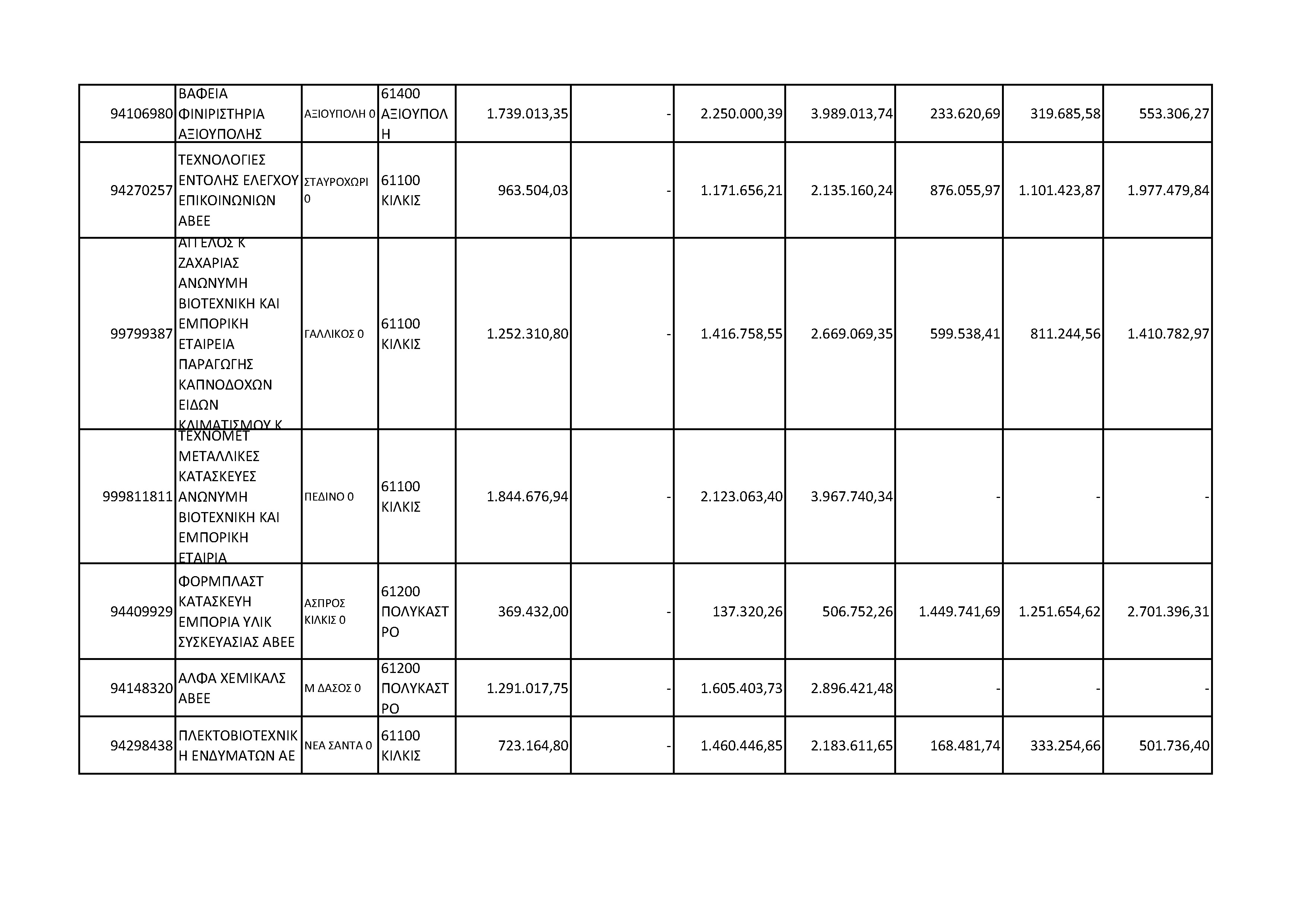
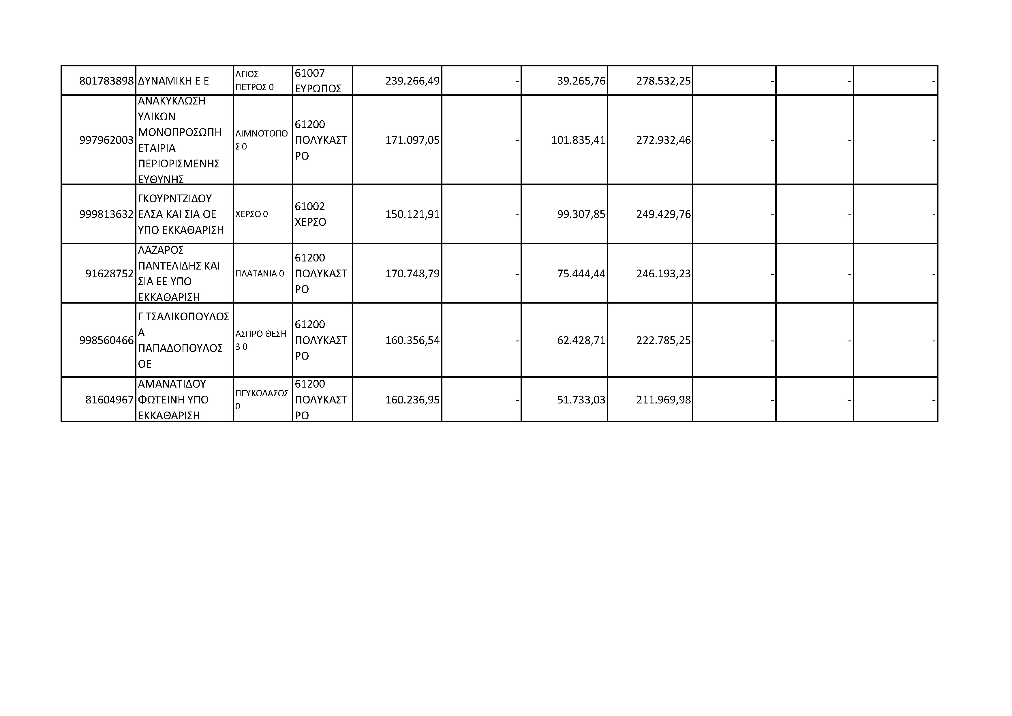
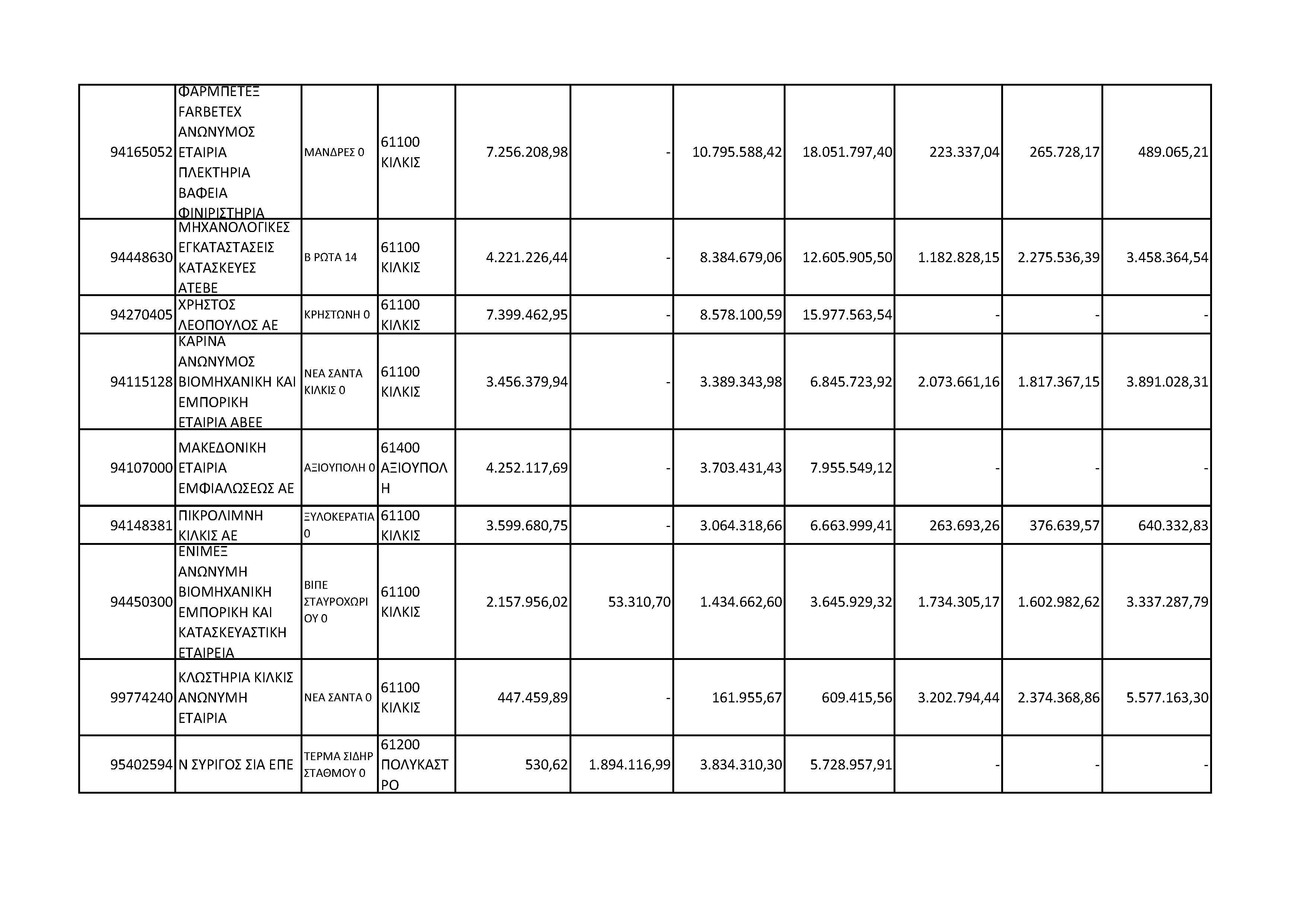
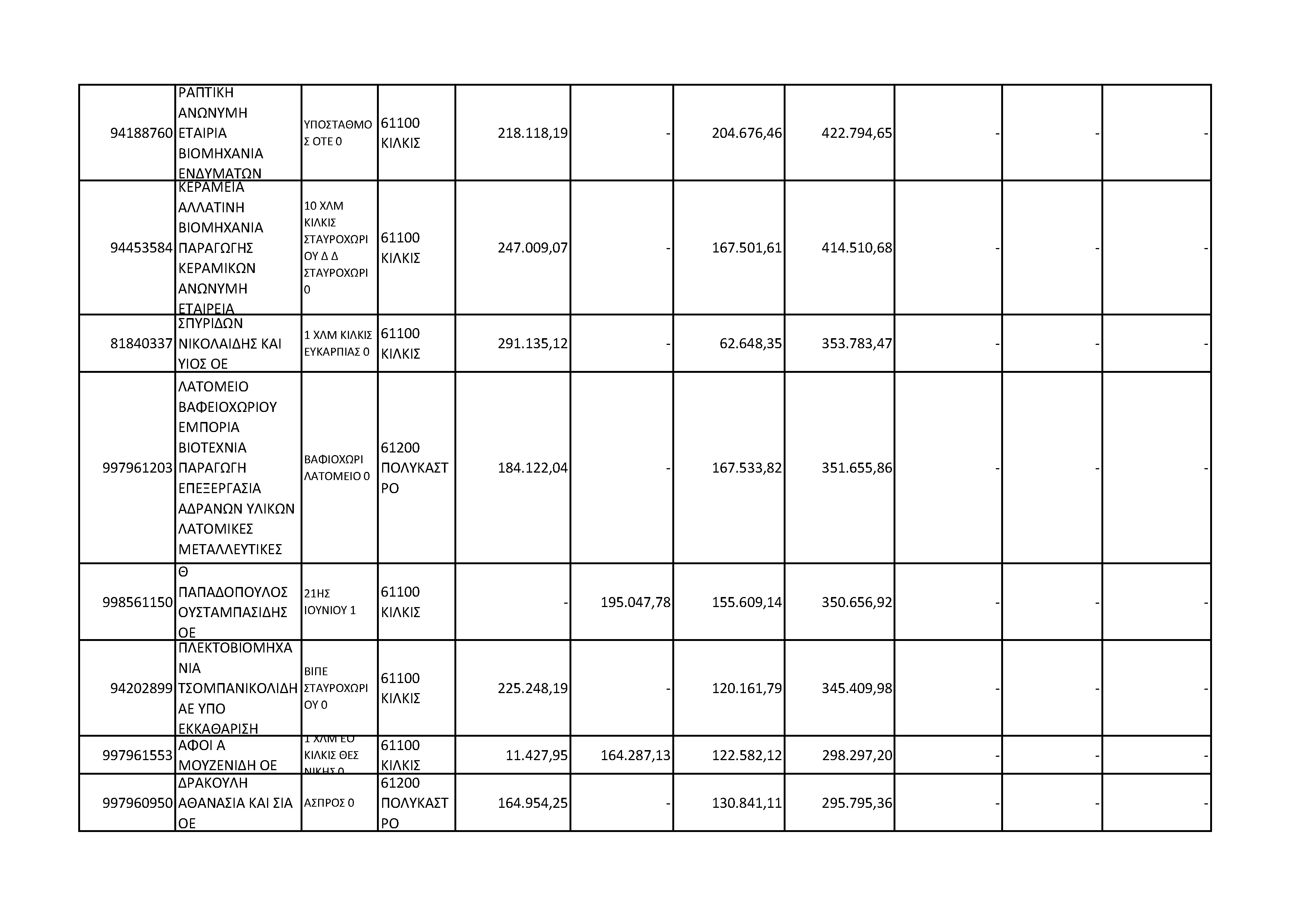
Σε επίπεδο νομού Κιλκίς στον κατάλογο των νομικών προσώπων - επιχειρήσεων συμπεριλαμβάνονται 68 εταιρείες, έναντι 69 του περυσινού καταλόγου, με τις περισσότερες από αυτές να έχουν πτωχεύσει ή κλείσει εδώ και πολλά χρόνια, ενώ υπάρχουν και λιγοστές που συνεχίζουν να λειτουργούν.
Η εταιρεία «ΒΙΟΜΗΧΑΝΙΑ ΚΑΤΑΣΚΕΥΗΣ ΕΝΔΥΜΑΤΩΝ ΕΜΠΟΡΙΚΕΣ ΕΠΙΧΕΙΡΗΣΕΙΣ ΑΝΤΙΠΡΟΣΩΠΕΙΕΣ ΕΙΣΑΓΩΓΕΣ ΕΞΑΓΩΓΕΣ ΒΑΣΙΛΕΙΑΔΗΣ» με έδρα τη ΒΙΠΕ Κιλκίς, είναι αυτή με την μεγαλύτερη οφειλή προς το δημόσιο και τα ασφαλιστικά ταμεία, ύψους 88,5 εκατομ. ευρώ! Ακολουθεί η εταιρεία ΒΑΦΕΙΑ ΚΙΛΚΙΣ με έδρα τη ΒΙΠΕ Κιλκίς και συνολικές οφειλές πάνω από 32 εκατομ. ευρώ.
Συνολικά οι 68 εταιρείες του ν. Κιλκίς οφείλουν πάνω από 350 εκα. ευρώ!
Για τα φυσικά πρόσωπα είναι αδύνατη η καταγραφή τους καθώς δεν αναφέρεται στον σχετικό πίνακα της Ανεξάρτητης Αρχής Δημοσίων Εσόδων κάποιο διακριτικό του τόπου κατοικίας τους.
Αξίζει να επισημάνουμε πως στην προηγούμενη λίστα που είχε ανακοινωθεί, υπήρξε αντίδραση από τον κ. Γεώργιο Τσουκαλά, ο οποίος με επιστολή του προς την εφημερίδα μας, διευκρίνιζε πως δεν οφείλει ούτε ένα ευρώ προς το ελληνικό δημόσιο ή τα ασφαλιστικά ταμεία και πως απλά η επωνυμία της επιχείρησή του είχε κρατηθεί από τον νέο ιδιοκτήτη, αλλά οι οφειλές δεν αφορούν τον κ. Τσουκαλά.
Ο πίνακας των εταιρειών με έδρα το Κιλκίς δημοσιεύεται στο αρχείο φωτογραφιών παρακάτω.



